Improving shared-decision making in plastic surgery: a systematic review and meta-analysis of patient-facing decision aids
Highlight box
Key findings
• Currently published and validated decision aids for plastic and reconstructive surgeries significantly improved decisional conflict and decisional regret.
• Decisional anxiety did not show statistical differences relative to decision aid use.
What is known and what is new?
• Patient-facing decision aids support patient shared decision making and reduce decisional conflict.
• Few validated decision aids are currently available for gender-affirming, craniofacial, hand/upper limb, and aesthetic surgeries.
• This meta-analysis includes 31 studies and found the majority of existing decision aids relevant to plastic and reconstructive surgery (PRS) were designed for breast reconstruction procedures.
What is the implication, and what should change now?
• The field of PRS could benefit from the development of decision aids for additional procedures within the field’s scope.
• Future studies should reassess decision aid impact upon patient-reported outcomes as new aids emerge.
Introduction
Plastic surgery encompasses a wide range of reconstructive and aesthetic procedures. In the United States, reconstructive procedures increased 2% from 2023 to 2024, and breast reconstruction reached 162,579 cases in 2024, a 3% year over year increase (1). These operations are often highly preference-sensitive, with options that differ in risks, benefits, and long-term consequences. Such complexity can lead to decisional conflict, anxiety, and, in some cases, postoperative regret when choices are not aligned with patients’ values (2-5).
Shared decision-making (SDM) has emerged as a key strategy to address these challenges by ensuring that clinical recommendations are balanced with individual patient goals and preferences. Patient-facing decision aids (PDAs) are evidence-based tools that support SDM by presenting treatment options, benefits, and risks in a structured and accessible way. The International Patient Decision Aid Standards (IPDAS) and the Ottawa Decision Support Framework provide widely recognized guidelines for their design and evaluation (6,7). Across healthcare settings, PDAs have been shown to reduce decisional conflict, improve knowledge, and increase the likelihood of value-concordant decisions (7).
Within plastic surgery, evidence for PDAs is most developed in oncologic and reconstructive settings, where randomized trials and systematic reviews demonstrate reductions in decisional conflict and regret broadly, though effects on anxiety and depression are mixed (2-5,8). These studies also often reported improved knowledge acquisition and greater patient satisfaction with decision-making, though measurement instruments were heterogeneous and the number of studies with sufficient data reporting of aforementioned metrics were not as frequent. Delivery format also may influence effectiveness; a recent network meta-analysis found web-based PDAs often outperform booklets for knowledge and satisfaction (9). Beyond these contexts, research on PDAs remains limited across other plastic surgery domains—such as gender-affirming, aesthetic, craniofacial, and hand surgery—despite similarly complex, values-driven decisions and multidisciplinary settings. Implementation barriers include workflow integration, clinician engagement, health literacy, and digital access. These gaps underscore the potential need to expand SDM tools across the specialty. Thus, we aimed to conduct a systematic review to provide a comprehensive, reproducible assessment of PDAs in PRS with predefined eligibility criteria, robust appraisal of patient outcomes, and to enable meta-analysis of decision-related outcomes where sufficiently comparable data were available. This systematic review synthesizes contemporary evidence on preoperative PDAs in plastic and reconstructive surgery (PRS), evaluating their impact on decision quality and patient-reported outcomes while identifying priorities for clinical adoption and future study. We present this article in accordance with the PRISMA reporting checklist (available at https://abs.amegroups.com/article/view/10.21037/abs-2025-1-66/rc).
Methods
Search strategy
PubMed, Cochrane Database of Systematic Reviews, and Google Scholar were strategically searched in July 8th, 2025 using the combined keywords and phrases: “Breast” OR “Mammoplasty” OR “Mastectomy” OR “Mammaplasty” OR “Breast Implants” OR “Breast Reconstruction” OR “Breast Augmentation” OR “Nipple Reconstruction” OR “Nipple” OR “Mastopexy” OR “Oncoplastic Surgery” OR “Acellular Dermis” OR “Acellular Dermal Matrix” OR “Gender Affirming Surgery” OR “Facial Feminization” OR “Facial Masculinization” OR “Gender Affirming Mastectomy” OR “Phalloplasty” OR “Vaginoplasty” OR “Cosmetic Techniques” OR “Esthetics” OR “Abdominoplasty” OR “Blepharoplasty” OR “Facelift” OR “Facial” OR “Face” OR “Body Contouring” OR “Hair Transplantation” OR “Injectables” OR “Laser Therapy” OR “Liposuction” OR “Rhinoplasty” OR “Oculoplastic Surgery” OR “Hand Surgery” OR “Thumb Carpometacarpal Joint” OR “Thumb CMC Arthroplasty” OR “Distal Radius Fractures” OR “Metacarpal Fractures” OR “Dupuytren Contracture” OR “Peripheral Nerve Injuries” OR “Nerve Grafting” OR “Cleft Lip” OR “Cleft Palate” OR “Cleft Lip and Palate” OR “Brachial Plexus” OR “Brachial Plexus Injury” OR “Craniofacial Abnormalities” OR “Craniofacial”) AND (“Decision Support” OR “Shared Decision Making” OR “Decision Aid” OR “Decision Aids” OR “Decision Tool” OR “Shared Decision Tools”). A detailed search strategy for each database employed is compiled in Appendix 1.
Eligibility criteria/study selection
Two authors (D.M.L. and T.M.) independently screened and reviewed titles and abstracts against predefined inclusion and exclusion criteria as listed below. All disagreements were resolved by discussion with the senior author (K.G.E.) until consensus was achieved. The authors included unique full-text studies that studied PDAs intended to support pediatric and adult patients in making informed, values-concordant decisions about undergoing plastic or reconstructive surgery, including procedures such as breast reconstruction, cleft or craniofacial repair, hand and upper extremity surgery, gender-affirming surgery, and cosmetic surgery. When the full text of a potentially eligible study could not be obtained through the initial database, we pursued additional retrieval steps via alternative sources. This included institutional library holdings and other online repositories; specifically requesting the article through our institution’s interlibrary loan/document delivery services. If full texts remained unavailable, the study was excluded from full-text eligibility assessment and was documented in the PRISMA flow diagram. Eligible studies were evaluated for the use of PDAs such as printed materials (paper surveys, booklets, pamphlets), videos, digital tools (computer and/or phone-based apps, algorithms or modules hosted on websites), or any other interactive platforms designed to support shared decision making, preoperative counseling, and procedure selection. Studies employing formats such as group educational classes were evaluated and only included if there was sufficient demonstration of interactive components, elicitation of values, and incorporated individual patient engagement.
In order to assess the effect of decision aids upon patient reported outcomes in PRS, studies were filtered and included for further analysis if their study sufficiently reported at least one outcome related to shared decision making, patient satisfaction, decisional conflict, decisional regret, or decisional anxiety. Such outcomes were presented in the contexts of tools such as Decisional Conflict Scale, Decision Regret Scale, focus group findings, anxiety or depression [State-Trait Anxiety Inventory (STAI) state anxiety tool, Hospital Anxiety and Depression Scale (HADS)], knowledge or understanding of options (Knowledge Decision Quality Index), treatment choice alignment with patient values, clinical or functional outcomes, or validated patient reported outcome measures (BREAST-Q, GENDER-Q) (8-14).
We systematically extracted these key variables from each included study alongside information regarding: the author, year of publication, origin country of study, type of surgical procedure, study design, participant characteristics, name of the PDA if available, modality/method of delivery, and the study’s primary findings related to decision-making outcomes.
Several studies reported outcomes at multiple follow-up time points. To ensure each study contributed only one effect estimate per outcome, we extracted a single follow-up time point from each study for the primary meta-analysis. When multiple eligible time points were reported, we prespecified the use of the latest available follow-up and the closest available time point to the latest assessment.
Eligible study designs included randomized controlled trials, prospective or retrospective comparative cohort studies, mixed methods research, and qualitative studies. Systematic reviews and meta-analyses were screened for reference-mining and were not treated as eligible primary studies for quantitative synthesis. Case studies/reports, opinion pieces, and editorials were not included. Only English language publications were included. References of selected papers were also surveyed to discover other pertinent studies and to supplement the initial electronic search. These manual searches specifically screened the reference lists of included full-text articles and relevant systematic reviews/meta-analyses. Any newly identified records underwent the same iterations of title/abstract and full-text screening process using the prespecified eligibility criteria, with any discrepancies resolved by the senior author. We excluded publications that were not based on original research data or performed on non-human subjects. Studies were evaluated for methodology quality. Although some studies did not match criteria for analysis, their contributions to PDA development within the scope of PRS warranted review and discussion.
Study quality and bias assessment
Both study quality and presence of bias was assessed by two researchers (D.M.L. and T.M.) who consulted third researcher (K.G.E.) in cases of disagreement. Study quality was assessed for any bias arising from randomization, deviations from intended intervention, missing or unreported outcome data, differing outcome measurement, and selection of reported results. Randomized control trials were assessed using the Cochrane Risk of Bias tool, whilst other studies such as Quasi-randomized trials or qualitative research were analyzed using the ROBINS-I tool and CASP, respectively. Resulting plots were visualized with the robvis tool (15-17). The methodological quality of included qualitative studies was appraised using the Critical Appraisal Skills Programme (CASP) Qualitative Checklist. The researchers independently assessed each study across the 10 CASP domains (clear aims, appropriateness of qualitative methodology and design, recruitment strategy, data collection, researcher–participant relationship/reflexivity, ethical considerations, rigor of analysis, clarity of findings, and value of the research). CASP assessments were used to characterize overall study quality and transparency of reporting; studies were not excluded solely on the basis of appraisal results.
Statistical and meta analysis
All statistical analyses were performed in jamovi (Version 2.6) using the MAJOR module for meta-analysis. P value threshold for significance was established at <0.05. Pooled effects were estimated using an inverse-variance random-effects model, with between-study heterogeneity (τ2) estimated via restricted maximum likelihood (REML). Statistical heterogeneity was evaluated using Cochran’s Q and quantified with I2. Heterogeneity was interpreted conservatively using Cochrane guidance for I2 with thresholds signifying: may not be important (0–40%), potentially moderate (30–60%), potentially substantial (50–90%), and potentially considerable (75–100%) heterogeneity. When heterogeneity was present (τ2>0), 95% prediction intervals were reported to reflect the expected range of true effects across future settings. Potential outliers and influential studies were examined using studentized residuals and Cook’s distance, respectively, applying Bonferroni-adjusted thresholds to flag possible outliers and an interquartile range–based rule to identify influential observations. Studies were considered influential if their Cook’s distance exceeded the median plus six times the interquartile range. Testing was examined separately for each pooled outcome.
To assess the effect of PDAs on metrics of interest such as decisional conflict, decisional regret, decisional anxiety, we utilized an inverse variance-weighted mean differences random-effects model for meta-analysis. For quantitative synthesis, we restricted studies such that they reported outcomes of interest, such as DCS or decisional regret outcomes, in a parallel-group comparison (PDA vs. usual care/control) with extractable post-intervention data. Studies employing single-arm pre–post designs or non-parallel designs were not pooled with controlled trials because their effect estimates were not directly comparable without additional assumptions, and thus these studies were therefore summarized narratively. Between-study heterogeneity was anticipated across studies, particularly in the diverse patient populations, surgical contexts, and PDA characteristics and formats. Heterogeneity was assessed using Cochran’s Q and quantified with I2.
Anticipated heterogeneity was accounted for via random-effects approach, which assumes true effects vary across studies due to differences in patient populations, procedures, and PDA formats. To allow for the direct interpretation of pooled effects in the instruments’ units and calculation of mean differences (MD), studies were grouped to ensure uniform reporting using the same instrument and scale. Additionally, pooled estimates were recalculated using alternative statistical models, including both fixed-effects and random-effects approaches, to assess the robustness of findings to assumptions regarding between-study heterogeneity.
Bias assessment
Small-study effects and potential publication bias were assessed by visual inspection of funnel plots and formally evaluated using rank correlation and Egger’s regression test for funnel plot asymmetry. Given the limited number of studies for some outcomes, these assessments were interpreted cautiously. Risk of bias due to missing results was additionally evaluated through funnel plot inspection. Certainty in the overall body of evidence was appraised by aggregate consideration of study design, methodological quality, consistency of effect estimates, precision of pooled estimates, and risk of reporting bias across studies.
Results
Search results
Our initial query yielded 5,480 citations. After filtering for duplicates and applying our eligibility criteria, a total of 23 stand-alone studies were initially considered eligible. After reviewing the selected papers and their references as well as 11 systematic reviews (2-5,18-24) that resulted from our initial search, an additional 8 relevant studies were identified, filtered for eligibility, and subsequently included. Thus, a final total of 31 studies reported sufficient data for further metanalysis (Figure 1). A total of 4,300 patients were studied, with a total of 11 named, unique plastic surgery relevant PDAs reported. Table 1 summarizes the various unique PDAs reported as well as the associated studies and their characteristics.
Table 1
| Study | Surgery | Design | Characteristics | DA name | Modality | Main findings | Meta-analysis eligibility |
|---|---|---|---|---|---|---|---|
| Au et al. (25), 2011 (China) | Breast reconstruction | Nonrandomized trials w/o control | 133 women (95 original DA, and 38 with revised), confirmed early stage breast cancer suitable for surgical choice (early stage 0–II) | Unnamed | Paper-based/interactive | Fully reading the decision aid booklet improved knowledge but did not significantly affect anxiety or depression in either pilot study | Excluded, insufficient or incompatible data reporting |
| Belkora et al. (26), 2012 (United States) | Breast reconstruction | Nonrandomized case series | 1,098 patients received 1,553 DAs (2005–2008, UCSF Breast Care Center); survey response of 549 (35%) | Unnamed | Digital/video-based/interactive | DAs were associated with reduced DCS scores and increased knowledge scores, with greater improvements seen among patients with higher baseline conflict, lower baseline knowledge, and those identifying as Hispanic | Excluded, insufficient or incompatible data reporting |
| Causarano et al. (27), 2015 (Canada) | Breast reconstruction | RCT | 39 women (20 intervention vs. 19 control) who had undergone a mastectomy considering breast reconstruction | Unnamed | Education group | The intervention group had lower decisional conflict (DCS), higher decision self-efficacy, and greater satisfaction with information on the Breast-Q and M-PICS scales | Included |
| Fang et al. (28), 2021 (Taiwan, China) | Breast reconstruction | RCT | 96 women (48 intervention vs. 48 control), age ≥20 years, newly diagnosed breast cancer, mastectomy candidates, Mandarin/Taiwanese speaking | Pink Journey | Digital/App-based/interactive | The decision aid reduced decisional conflict, with low decision regret, and at one year patients reported low anxiety and depression (HADS), good body satisfaction, and low body image distress | Included |
| Hawley et al. (29), 2016 (United States) | Breast reconstruction | RCT | 101 women with newly diagnosed, Stage 0–II, ages 30–80 years | I Can Decide | Digital/Web-based/interactive | The DA improved knowledge (knowledge quiz), and increased decision satisfaction (Decision Satisfaction Scale), with greater values concordance between preferences and treatments | Excluded, insufficient or incompatible data reporting |
| Heller et al. (30), 2008 (United States) | Breast reconstruction | RCT | 133 women (67 control vs. 66 intervention), early stage breast cancer, candidate for breast reconstruction | IDEA | Digital/computer-based | The DA improved knowledge (quiz), showed a nonsignificant trend toward reduced anxiety (STAI-S), and increased satisfaction (Likert scale) | Excluded, insufficient or incompatible data reporting |
| Hoffman et al. (31), 2019 (United States) | Breast reconstruction | Development study | 40 participants (20 breast cancer survivors post-mastectomy, 20 providers/stakeholders) | Considering Breast Reconstruction after Mastectomy | Video + workbook/interactive | The DA improved knowledge test scores and was rated highly on acceptability by patients and providers, with broad support for its clarity, usefulness, and recommendation | Excluded, insufficient or incompatible data reporting |
| Klifto et al. (32), 2021 (United States) | Breast reconstruction | RCT | 20 newly diagnosed breast cancer patients (10 control, 10 intervention) | Unnamed | Paper-based/interactive | Both groups showed reduced DCS scores; control and intervention improved in Uncertainty, and intervention improved in Values Clarity, but no significant between-group differences were found | Included |
| Kim et al. (33), 2021 (South Korea) | Hand (distal radius fracture) | RCT | 49 adults (25 intervention vs. 24 control); included acute, well-reduced but unstable distal radius fractures after closed reduction/splinting | Unnamed | Digital/video | The audiovisual DA significantly reduced decisional conflict compared with standard verbal information | Included |
| Lam et al. (34), 2013 (China) | Breast reconstruction | RCT | 276 women (138 control vs. 138 intervention), Chinese women with newly diagnosed early-stage breast cancer | Unnamed | Paper based/interactive | The decision aid booklet reduced decisional conflict and decisional regret at follow-up and was associated with lower depression scores (HADS), with no significant differences in anxiety | Included |
| Lee et al. (35), 2010 (United States) | Breast reconstruction | Nonrandomized trial with control | 255 women (87 control vs. 168 intervention), post-mastectomy for early stage breast cancer | Unnamed | Digital/computer-based | The DA improved satisfaction with information (Likert scale), increased self-rated involvement, and enhanced recall of reconstruction options, while overall satisfaction remained similar | Excluded, insufficient or incompatible data reporting |
| Lin et al. (36), 2021 (Taiwan, China) | Breast reconstruction | Quasi-randomized pilot | 11 women with newly diagnosed with breast cancer, mastectomy candidates | Pink Journey | Digital/App-based/interactive | The DA reduced decisional conflict (DCS) in a pretest and posttest design. Rated feasible and acceptable, supporting helpfulness, reassurance, and values clarification | Excluded, insufficient or incompatible data reporting |
| Luan et al. (37), 2016 (United States) | Breast reconstruction | RCT | 16 women (8 control vs. 8 intervention), undergoing breast reconstruction following mastectomy indicated for breast cancer | Unnamed | Paper based/interactive | The decision aid group showed a trend toward reduced decisional conflict and significantly lower decision regret, with no differences in postoperative quality of life (BREAST-Q) or anxiety and depression (HADS) | Included |
| Manne et al. (38), 2016 (United States) | Breast reconstruction | RCT | 55 women (31 control vs. 24 intervention) with breast cancer (DCIS or stage 1,2,3 A breast cancer) considering mastectomy | BRAID | Digital/Web-based/interactive | Both the control pamphlet and BRAID reduced decisional conflict, with improvements in knowledge in both groups. Anxiety scores (STAI) showed no significant change over time | Included |
| Mardinger et al. (39), 2023 (Canada) | Breast reconstruction | RCT | 60 women (30 AHS DA vs. 30 BRECONDA DA) | BRECONDA | Digital/Web-based/interactive | No significant differences were found between AHS and BRECONDA decision aids, with comparable satisfaction, decision-making involvement, anxiety (STAI), and decision self-efficacy scores | Included |
| Metcalfe et al. (40), 2018 (Canada) | Breast reconstruction | Nonrandomized trial w/o control | 27 women; single institution, University Health Network | Unnamed | Digital/Web-based/interactive | The DA significantly reduced DCS scores, with improvements across subscales (uncertainty, informed, values clarity, support, effective decision), and increased knowledge on a study-authored test | Excluded, insufficient or incompatible data reporting |
| Mokken et al. (41), 2020 (Netherlands) | Gender affirming surgery | Mixed methods qualitative descriptive study | 51 transmen in questionnaire study (99 questionnaires analyzed), 15 interviews conducted in Dutch | DA-GST | Digital/Web-based/interactive | Decisional conflict scores steadily decreased with decision aid use across all time points, and qualitative interviews highlighted additional insights into patient decision-making | Included |
| Paraskenva et al. (42), 2022 (England) | Breast reconstruction | RCT | 147 women (56 control, 91 intervention); multi-centered trial led by Centre for Appearance Research | PEGASUS | In-person/guided dialogue | The DA improved decision regret at 6 months and supported quality of life domains (Breast-Q, ICECAP-A, EQ-5D-5L, EQ VAS), though differences were not consistently sustained at 12 months | Included |
| Politi et al. (43), 2020 (United States) | Breast reconstruction | RCT | 120 women (60 control, 60 intervention); adult women with stages 0–III breast cancer considering PMBR | BREASTChoice | Digital/Web-based/interactive | The DA significantly improved knowledge and showed favorable trends in decisional conflict (SURE) and decision process (DQI). No significant differences were seen in Breast-Q QOL domains or shared decision-making (collaboRATE) | Excluded, insufficient or incompatible data reporting |
| Politi et al. (44), 2024 (United States) | Breast reconstruction | RCT | 321 women (165 control, 156 BREASTChoice) | BREASTChoice | Digital/Web-based/interactive | The DA significantly improved knowledge and showed favorable trends in decisional conflict (SURE) and decision process (DQI). No significant differences were seen in Breast-Q QOL domains or shared decision-making (collaboRATE) | Excluded, insufficient or incompatible data reporting |
| Sherman et al. (45), 2017 (Australia) | Breast reconstruction | RCT | 64 women enrolled (60 analyzed at 2 months), recruited from 4 hereditary cancer clinics in Australia; ≥18 yrs, BRCA1/2 carriers advised to consider risk-reducing mastectomy | BRECONDA | Digital/Web-based/interactive | At 2 months, BRECONDA significantly reduced decisional conflict (DCS), increased breast-reconstruction knowledge, and improved satisfaction with information (Breast-Q, information satisfaction subscale), with high user acceptability | Included |
| Sherman et al. (46), 2017 (Australia) | Breast reconstruction | RCT | 42 participants (36 women with breast cancer, DCIS, or genetic risk; 6 health professionals including surgeons and breast care nurses) | BRECONDA | Digital/Web-based/interactive | Patients reported reassurance, greater knowledge, confidence, and reduced decisional conflict; clinicians observed improved consultation preparedness and patient engagement. Supported as a valuable adjunct to clinical consultation | Excluded, insufficient or incompatible data reporting |
| Sherman et al. (47), 2016 (Australia) | Breast reconstruction | RCT | 222 women with breast cancer or DCIS, age ≥18 years, eligible for reconstruction post-mastectomy | BRECONDA | Digital/Web-based/interactive | BRECONDA significantly reduced DCS (sustained at 1 and 6 months), improved satisfaction with information, and showed a nonsignificant trend toward lower DRS at 6 months. User acceptability was high | Included |
| Sowa et al. (48), 2023 (Japan) | Breast reconstruction | Prospective nonrandomized field-testing study | 25 women (12 DA+ vs. 13 DA−), single center in Japan; Japanese-speaking women with new primary breast cancer at initial consultation for BR | BRECONDA | Paper-based/interactive | The DA+ group had significantly higher perceived shared decision-making and lower decision regret at 3 months compared to DA− | Excluded, insufficient or incompatible data reporting |
| Stege et al. (49), 2025 (Netherlands) | Breast reconstruction | RCT | 244 randomized (125 intervention, 119 control) across 8 Dutch hospitals (2 academic, 5 general, 1 cancer-specialized) | Unnamed | Digital/Web-based/interactive | No difference in Decisional Conflict Scale; DA improved satisfaction with information and knowledge. No differences in regret, involvement, shared decision-making, or satisfaction with surgeon | Excluded, insufficient or incompatible data reporting |
| Ter Stege et al. (50), 2024 (Netherlands) | Breast reconstruction | RCT | 250 randomized (126 DA, 124 control) across 7 Dutch hospitals | Unnamed | Digital/Web-based/interactive | No significant differences in Decisional Conflict Scale. DA users showed higher preparedness (PrepDM) and satisfaction with information (BREAST-Q), with no differences in Decision Regret Scale, STAI-6, SDM-Q-9, or HRQoL (BREAST-Q, EORTC QLQ-BR23) | Included |
| Ter Stege et al. (51), 2022 (Netherlands) | Breast reconstruction | Development study; mixed qualitative approach | 63 participants (37 patients, 26 healthcare professionals). Patients: surveys, think-aloud usability tests, interviews. Professionals: interviews | Unnamed | Digital/Web-based/interactive | The DA was rated clear, comprehensive, and usable, with patients giving high scores on the SUS and PDMS. Usability testing and interviews confirmed acceptability and value in supporting shared decision-making | Excluded, insufficient data reporting |
| Varelas et al. (52), 2020 (United States) | Breast reconstruction | RCT | 26 patients (13 intervention vs. 13 control); English-speaking women age >18 years with stage I–II breast cancer and mastectomy | Emmi Decide | Digital/web-based/interactive | Via the decisional conflict scale and BREAST-Q surveys, the intervention group reported higher satisfaction, greater knowledge, and less decisional conflict, with no differences in consultation time or anxiety. Surgeons also reported greater satisfaction with these consultations | Included |
| Wilkens et al. (53), 2019 (United States) | TMC arthritis | RCT | 90 patients randomized (45 DA vs. 45 UC); 83 completed (41 DA vs. 42 UC); single site, 6 hand surgeons; mean age 62–65 years; majority women; mostly white; Eaton stage I–IV distribution reported | Unnamed | Digital/Web-based/interactive | The decision aid reduced decisional conflict but showed no significant effects on pain, function, anxiety, satisfaction, or regret | Included |
| Wang et al. (54), 2025 (China) | Breast reconstruction | RCT | 70 women randomized (35/35); 63 completed (31 control, 32 intervention); first planned surgery, smartphone required; excluded mental/cognitive disorders | Unnamed | Digital/Web-based/interactive | The web-based decision aid reduced decisional conflict, encouraged more collaborative decision-making, lowered unmet needs, and improved decision satisfaction | Included |
| Zhong et al. (55), 2021 (Canada) | Breast reconstruction | RCT | 156 women randomized (137 completed), 3 plastic surgeons; age ≥18 years referred for delayed PMBR or prophylactic mastectomy with immediate PMBR | PEGI | Educational group | PEGI significantly improved patient knowledge, but produced no significant differences in decisional conflict, state anxiety, or satisfaction with healthcare | Included |
AHS, Alberta Health Services (AHS decision aid); BR, breast reconstruction; BRCA1/2, Breast cancer gene 1/breast cancer gene 2; DA, decision aid; DA+/DA−, decision aid provided/decision aid not provided; DCIS, ductal carcinoma in situ; DCS, Decisional Conflict Scale; HADS, Hospital Anxiety and Depression Scale; PDMS, Preparation for Decision-Making Scale; PMBR, post-mastectomy breast reconstruction; QOL, quality of life; RCT, randomized controlled trial; STAI, State-Trait Anxiety Inventory; SUS, System Usability Scale; UC, usual care; UCSF, University of California, San Francisco; w/o, without.
Study and patient characteristics
Study characteristics are summarized in Table 1. The 31 studies were published across the timespan of 2008 to 2024. Eligible studies focused on breast reconstruction [28 of 31 (90.3%)], with only two (6.5%) addressing hand or upper extremity surgery and one (3.2%) evaluating gender-affirming surgery. No peer-reviewed PDA studies in craniofacial or aesthetic surgery met our eligibility criteria. A total of 12 studies (38.7%) were conducted in the United States. Breast reconstruction PDA studies featured new patients diagnosed with breast cancer and were candidates for breast reconstruction secondarily to their oncologic management. For gender-affirming PDAs study populations were only representative of transgender men. Hand and upper limb reconstruction PDAs featured older adults (range of mean ages of 57 to 65 years). All studies sufficiently studied their PDA reporting appropriate outcomes of interest such as: preparation for consultation, decisional confidence, decisional regret, decisional anxiety, knowledge, and satisfaction. However, key outcomes of interest such as knowledge and satisfaction were not robustly reported nor consistent in their scales. Meta-analysis was performed only when ≥2 studies reported an outcome using sufficiently comparable measures and provided extractable summary statistics. Outcomes such as decision making and knowledge were conservatively and narratively summarized narratively; as too few studies reported these outcomes with compatible instruments and adequate quantitative data for pooling. While standardized MDs could been employed in the setting of different continuous scales, the available studies operationalized decision making and satisfaction inconsistently and frequently lacked variance estimates; therefore, SMD pooling was not considered methodologically appropriate.
Eight studies (25.8%) utilized BREAST-Q within their study design (27,37,42-45,50,52). No study used GENDER-Q, likely due to the fact that it was only validated recently at the time of this work. The method of delivery for these PDAs favored digital and audio-visual formats (n=21, 67.7%), with the remainder as a mix of booklets, pamphlets, other paper-based materials (n=9, 29%), and a minority of in-person interactive educational sessions prior to consultation (n=2, 6%).
Several PDAs at various stages of development (n=7) did not meet our eligibility criteria for metanalyses. Reasons for exclusion included premature stage of development, insufficient objective reporting of outcomes of interest, lack of patient interaction, and/or inadequate elucidation of patients’ values regarding surgical approach and decision-making. However, such studies did merit some discussion due to their novel nature (Table 2) (56-62). Though ineligible by our criteria, these PDAs were reported to be in development for domains such as gender-affirming, brachial plexus, craniofacial, and distal radius fracture surgeries. Such PDAs were developed in the form of digital, web-based, and interactive tools for breast procedures (56,57) and gender-affirming surgery (60) and reported increased decisional confidence and informed consent quality. Other PDAs remain in early development or pilot stages, including promising aids for brachial plexus (59), craniofacial surgery (62), and distal radius fractures (61), all showing promise for future clinical integration. Overall, these tools are advancing patient-centered care across a broad surgical spectrum.
Table 2
| Study | Surgery | Design | Characteristics | DA name | Modality | Main findings |
|---|---|---|---|---|---|---|
| Brandel et al. (56), 2017 (US) | Breast reconstruction, breast reduction, abdominoplasty | RCT | 65 patients preoperatively and 48 patients postoperatively | Emmi (Emmi Solutions) | Web-based | Decision aid improved patients’ informed consents and understanding of procedure benefits |
| Paraskeva et al. (57), 2017 (UK) | Breast augmentation | Mixed methods, qualitative descriptive study, with thematic interviews | Seventeen patients presenting for breast augmentation surgery. Semi-structured interviews exploring 3 aesthetic providers’ experiences of using PEGASUS | PEGASUS | Digital/video-based/interactive | Patients and providers found the PEGASUS intervention relevant and useful, facilitating reflection and discussion of surgical expectations while maintaining patient comfort |
| Hagopian et al. (58), 2021 (US) | Breast augmentation | Consensus development for breast augmentation DA | Only active members of The Aesthetic Society participated as part of expert consensus development | Unnamed | To be determined | Reports results for the first phase of a larger pilot study aiming to develop a patient decision aid to replace traditional informed consent documents for the specified procedure. Implications for practice are encouraging in terms of reducing unwanted variation in disclosure practices and information overload |
| Ho et al. (59), 2022 (Canada) | Brachial plexus | Mixed methods study | Patients affected by brachial plexus birth injuries and their families. (5 young adults, 14 youth/adolescents, and 15 families with children aged 2 to 16 years) | Unnamed | Web-based | Helped youth and their families with decision-making. Most adolescents over 11 understood and preferred to use it independently, while comprehension was lower among younger users |
| Ozer et al. (60), 2018 (Netherlands) | Genital gender-affirming surgery | DA qualitative focus group study | 12 transmen who already underwent or were considering surgery. Healthcare professionals (n=9) involved in the treatment of individuals with gender dysphoria | DA-GST | Online format, compatible with desktops, tablets, and handheld device | increased preparedness for consultation, increased decisional confidence, decreased decisional conflict |
| Graesser et al. (61), 2024 (US) | Distal radius fractures | DA qualitative focus group study | 11 patients and 11 hand surgeons | Unnamed | Physical or electronic booklet with quiz | Patients found the PDA informative, comprehensive, and easy to understand, while surgeons agreed on its usability but noted potential challenges integrating it into clinic workflows |
| Makar et al. (62), 2026 (US) | Craniofacial & cleft lip/palate | DA qualitative focus group study | Focus group of 8 board-certified craniofacial surgeons | Unnamed | Planned web-based | DA development aimed towards appealing to patients, acknowledging parental roles, and optimizing decision aid delivery to engage appropriate surgical candidates effectively |
DA, decision aid; PDA, patient decision aid; RCT, randomized controlled trial.
Meta-analysis
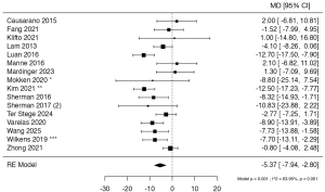
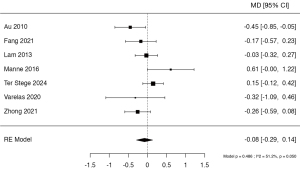
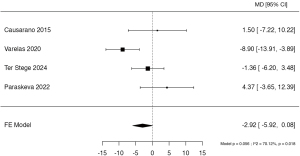
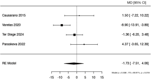
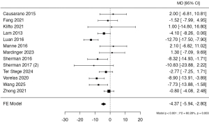
Across studies evaluating PDAs in PRS, aggregate analysis via random effects approach demonstrated a significant reduction in decisional conflict as well as decisional regret favoring intervention groups: decisional conflict [MD, –5.37 (of 100 points); 95% confidence interval (CI): –7.94 to –2.80; 16 studies; P<0.001] and decisional regret [MD, –4.93 (of 100 points); 95% CI: –8.73 to –1.12; 9 studies; P=0.01] (Figures 2,3). The negative MD indicated that participants who used PDAs reported lower decisional conflict and decisional regret scores (approximate decrease of 5 points on both instruments scales) compared with those receiving standard counseling or educational materials. Studies reported decisional anxiety via HADS or STAI outcome measures and were analyzed separately as [HADS, MD, −0.77 (of 21 points); 95% CI: –1.77 to 0.23; 3 studies, P=0.13)] and [STAI, MD =0.61 (of 80 points); 95% CI: –3.98 to 5.20; 4 studies, P=0.99] (Figure 4). When pooled together and remodeled to calculate a standardized mean difference (SMD), the model still did not reach significance (SMD =−0.08; 95% CI: –0.29 to 0.14; 7 studies, P=0.49) (Figure 5). Satisfaction of knowledge via BREAST-Q was also analyzed, showing directionality towards improved satisfaction in favor of PDA use, though it did not show significant differences [MD, −1.73 (of 100 points); 95% CI: –7.51 to 4.06; 4 studies; P=0.56] (Figure 6).
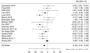
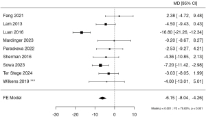
To confirm the consistency of our models, we re-evaluated these same studies through a fixed effects approach (Figures 7-10). The fixed effects model yielded the following: decisional conflict [MD, −5.38 (of 100 points); 95% CI: –6.81 to –3.95; 16 studies; P<0.001] and decisional regret [MD, –6.15 (of 100 points); 95% CI: −8.04 to –4.26; 9 studies; P<0.001] (Figures 7,8). Decisional anxiety via HADS or STAI outcome measures were analyzed separately through the fixed effects approach and yielded the following: [HADS, MD, −0.69 (of 21 points); 95% CI: −1.41 to 0.03; 3 studies, P=0.06] and [STAI, MD, 0.61 (of 80 points); 95% CI: −1.72 to 2.94; 4 studies, P=0.61] (Figure 9). Satisfaction of knowledge via BREAST-Q through fixed effects approach confirmed directionality, yielding the following: [MD, −2.92 (of 100 points); 95% CI: –5.92 to 0.08; 4 studies; P=0.056] (Figure 10).
Therefore, sensitivity analyses evaluating alternative pooling assumptions demonstrated consistent findings across models. Using both random- and fixed-effects approaches, PDA use was associated with significantly lower decisional conflict and decisional regret, with near-identical effect estimates for decisional conflict across models and a modestly larger magnitude for decisional regret under fixed effects. In contrast, decisional anxiety and knowledge satisfaction outcomes remained non-significant regardless of analytic specification, including instrument-specific pooling for HADS and STAI and a harmonized standardized MD model combining anxiety measures.
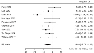
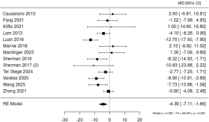
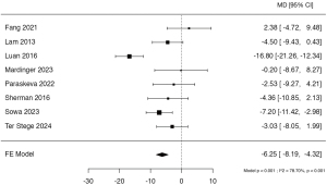
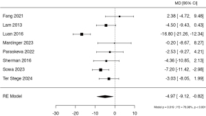
Due to the predominance of breast reconstruction PDAs, we conducted sub-analysis of these studies and re-assessed decisional conflict and decisional regret. We did not repeat the models for anxiety nor knowledge satisfaction as the studies included for previous inclusion and analysis already exclusively featured breast reconstruction PDAs. Breast reconstruction PDAs analysis was primarily analyzed via random effects approach: decisional conflict [MD, −4.39 (of 100 points); 95% CI: –7.11 to –1.66; 13 studies; P=0.002] and decisional regret [MD, −4.97 (of 100 points); 95% CI: −9.12 to –0.82; 8 studies; P=0.02] (Figures 11,12). It was then re-analyzed through a fixed effects approach: decisional conflict [MD, −4.37 (of 100 points); 95% CI: –5.94 to –2.80; 13 studies; P <0.001] and decisional regret [MD, –6.25 (of 100 points); 95% CI: −8.19 to –4.32; 8 studies; P <0.001] (Figures 13,14).
Q-test analysis confirmed substantial I2 and significant heterogeneity (P<0.05) across models for decisional conflict, decisional regret, and knowledge satisfaction: decisional conflict (I2=63.95%), with Q(df=14)=39.930, P<0.001 (τ2=16.5059; τ=4.063); decisional regret (I2=74.32%), with Q(df=8)=34.895, P<0.001 (τ2=27.9826; τ=5.290); knowledge satisfaction (I2=69.91%), with Q(df=3)=10.041, P=0.02 (τ2=23.5918; τ=4.857). Our models for anxiety via HADS and STAI were assessed to have moderate to substantial heterogeneity: HADS (I2=45.4%), with Q(df=2)=3.641, P=0.16 (τ2=0.3563; τ=0.597); STAI (I2=69.83%), with Q(df=2)=6.917, P=0.03 (τ2=27.471; τ=5.241). Q-test analysis for the breast reconstruction PDA subgroup was consistent with these results: decisional conflict (I2=60.49%), with Q(df=12)=30.213, P=0.003 (τ2=13.4089; τ=3.662); decisional regret (I2=76.98%), with Q(df=7)=32.869, P<0.001 (τ2=26.8212; τ=5.179).
Influence diagnostics were examined for each pooled outcome, using studentized residuals with a Bonferroni-adjusted threshold and Cook’s distance to identify potential outliers.
In the decisional conflict random effects model, there were no studies flagged by studentized residuals for potential outliers and no study met criteria for undue influence according to Cook’s distance. In the decisional regret random effects model, Luan et al. 2016 was flagged by studentized residuals indicating it may be a potential outlier within the model’s context (37). However, no study, including Luan et al., met criteria for undue influence according to Cook’s distance. In the decisional anxiety random effects models by both HADS and STAI, there were no studies flagged by studentized residuals for potential outliers and no study met criteria for undue influence according to Cook’s distance. In the knowledge satisfaction random effects model, Varelas et al. [2020] was flagged by studentized residuals indicating it may be a potential outlier within the model’s context (52). However, no study, including Varelas et al., met criteria for undue influence according to Cook’s distance.
Literature quality assessment
A full assessment of bias was performed for each included study, completed with the RoB2 and Robins-I tool for assessing risk-of-bias as described within the methods section. Resultant plots for risk of bias for RCTs and quasi-/non-randomized trials are depicted in Figures 15,16, respectively. Biases assessed included random sequence generation, allocation concealment, performance, detection, attrition, and reporting. The evaluation of the risk of bias across the eligible and included studies indicated a low-to-moderate risk of bias across domains of biases. Failure to blind interventions to participants and implementers were common across RCTs and other studies studying PDAs thus contributing to potential performance bias. Methodological quality of included qualitative studies was assessed using the CASP checklist. Variable details regarding analytic procedures and rigor were observed. Ethical considerations and clarity of findings were generally well described. Full CASP ratings by domain are provided in Table S1.
Funnel plot analysis was performed for decisional conflict analysis to test for publication bias, and other patient outcomes eligible for further analysis were assessed using Egger’s regression analysis (Figure S1). Additional funnel plot-based assessments were not performed for decisional regret, anxiety, and knowledge satisfaction, as fewer than ten studies were available for those outcomes of interest, rendering visual interpretation unreliable. Egger’s regression analysis revealed the following with regard to publication bias: decisional conflict (0.649, P=0.52), decisional regret (1.866, P=0.06), HADS (−0.985, P=0.33), STAI (−0.359, P=0.72), knowledge satisfaction (1.438, P=0.15). For breast reconstruction PDA sub-analysis, Egger’s regression for decisional conflict was 0.685 (P=0.49) and 2.170 (P=0.03) was for decisional regret (Figure S2).
For the decisional conflict model, visual inspection of the funnel plot suggested asymmetry. However, Egger’s regression test did not reach statistical significance, providing no formal evidence of small-study effects. For decisional regret (n=9 studies), Egger’s regression approached but did not reach significance (intercept=1.866, P=0.06). For HADS, STAI, and knowledge satisfaction (n=3, 4, and 4 studies respectively), Egger’s regression is not informative and is underpowered. Accordingly, the non-significant findings for these outcomes were not interpreted as evidence for the absence of small-study effects or publication bias. Overall, asymmetry-related inferences, particularly for decisional regret and the anxiety outcomes, were made conservatively given the limited number of studies and the potential for heterogeneity and chance to influence funnel plot-based metrics.
For our breast reconstruction PDA sub-analysis, Egger’s regression test for the decisional conflict model did not reach statistical significance, providing no formal evidence of small-study effects. However, in our decisional regret model, Egger’s regression was determined to be a value of 2.170 and reached significance (P=0.03) which may be consistent with small-study effects. As the number of studies (n=8) was below the commonly recommended threshold for asymmetry testing, this result was interpreted cautiously and not considered definitive evidence of publication bias. Again, we did not repeat publication bias analysis of models for anxiety nor knowledge satisfaction, as the studies included for previous inclusion and analysis already exclusively featured breast reconstruction PDAs.
Discussion
This systematic review demonstrates that patient-facing PDAs meaningfully enhance SDM in PRS, with pooled analyses showing a significant reduction in both decisional conflict and decisional regret. However, despite the broad scope of this review, most identified studies that met our eligibility criteria were concentrated in breast reconstruction (28 of 31, 90.3%), with only two addressing hand/upper extremity surgery and one evaluating a gender-affirming surgical procedure. No eligible studies evaluated SDM in the plastic surgery subspecialties of craniofacial surgery or aesthetic surgery. Most available PDAs utilized web or app-based platforms, with a minority utilizing printed materials. Eligible studies significantly reduced patient-reported decisional conflict and decisional regret, while PDA effects on decisional anxiety did not reach significance. Studies also often reported improved patient satisfaction with information and perceived involvement in decision-making, as well as improved patient knowledge scores, albeit via disparate and varied assessment of both domains. There are several important implications of these findings, with the most notable being that a validated evidence base for PDAs in PRS remains limited, and there remains a need for PDAs across other sub-specialties of PRS. While decision-support materials may exist in clinical practice or are already accessible publicly, many appear to lack standardized outcome evaluation, limiting our ability to determine effectiveness and generalizability with the presently available and eligible studies.
As PRS options expand, surgical decision-making has become more complex, increasing the importance of SDM when multiple appropriate approaches carry distinct risks, benefits, aesthetic outcomes, and long-term quality-of-life implications (63-67). PDAs are designed to facilitate SDM by presenting options and tradeoffs in an accessible format while eliciting patient values to support value-concordant decisions (6,65,68,69). Breast reconstruction after mastectomy is a classic setting for PDA use given the breadth of reconstructive choices and downstream functional and psychosocial implications, whereas PDAs may offer less incremental value when decisions are more binary or pathways are highly standardized (70).
Despite established development frameworks, our review highlights a persistent gap in the availability and procedural diversity of validated PDAs across PRS (6,7). The predominance of breast reconstruction PDAs likely reflects earlier oncologic and oncoplastic work where decision aids were first studied to support breast cancer treatment decisions and subsequently expanded to include reconstructive pathways (68,69). Within breast reconstruction, PDAs were associated with improved decisional conflict and decisional regret, with studies also reporting improvements in knowledge and satisfaction; however, these latter outcomes were inconsistently measured and often insufficiently reported, limiting synthesis an issue similarly observed across non-breast PRS PDAs in the included literature.
Validated PDAs for other subspecialties such as gender-affirming surgery, hand and upper limb reconstruction, craniofacial procedures, and aesthetic surgery were notably scarce. Mokken et al. evaluated one such novel PDA for genital gender-affirming surgery in transmen to promote informed, value-based surgical choices and SDM (41). The tool reduced decisional conflict and improved preparedness and confidence, consistent with prior evidence supporting PDAs in preference-sensitive care. Two validated PDAs were designed for hand and upper limb reconstruction. Both demonstrated measurable benefits in improving patient understanding and reducing decisional conflict. Kim et al. demonstrated that providing audiovisual information to patients with distal radius fractures significantly lowered decisional conflict compared to standard counseling, particularly among younger patients, highlighting the utility of multimedia education in acute trauma settings (33). Similarly, Wilkens et al. found that a web-based PDA for trapeziometacarpal arthritis decreased decisional conflict during initial consultations, emphasizing improved preparedness and comfort with decision-making (53).
The relative scarcity of validated PDAs outside of breast reconstruction may reflect a potential reluctance to invest significant resources into SDM tools. Standards upheld by International Patient Decision Aid Standards (IPDAS) and Ottawa Decision Support Framework (ODSF) are rigorous, and though published frameworks exist to assist in PDA development, the initial barriers may influence the rate at which associated research proceeds (71). With considerations to user acceptability and accessibility, most PDAs in our analysis were delivered digitally either through apps, websites, or other audio-visual means. These mediums require significant expertise as well as time investment and resources to create, record, organize, and/or produce.
Studies that did not meet inclusion criteria for meta-analysis nonetheless reflect growing interest in developing PDAs across PRS, and suggest that many may soon address current gaps and become available for future analyses. Broadly, those PDAs were designed for procedures within the domains of breast reconstruction, breast reduction/mammoplasty, cosmetic breast augmentation, abdominoplasty, distal radius fracture, brachial plexus birth injury, craniofacial/cleft lip and palate (46,48-52,54). Though the work surrounding PDA implementation in PRS has been promising, work remains to be done to validate these prototypes with metrics of interest and patient reported outcomes.
Collectively, our results support a broader implementation and testing of PDAs throughout the spectrum of PRS. Expanding PDA development could enhance communication, align treatment plans with patient values, and mitigate decisional regret. Moreover, the integration of evidence-based, user-centered decision tools into preoperative counseling may standardize how complex surgical information is delivered, ultimately fostering more equitable and informed SDM across diverse patient populations.
This study has several limitations to consider. This is a retrospective systematic review of validated PDAs. Thus, our eligibility criteria may not have captured the full scope of commercially available or marketed decision aids. We prioritized our efforts in analyzing studies with objective reporting of data that were peer-reviewed within a full-text English language scientific journals. Several studies met eligibility criteria but were unable to undergo further analysis due to concerns with study design and/or limited outcomes reporting. The lack of available studies overall limited further analysis and bias assessments.
Accurate meta-analysis of PDAs effects upon patient comprehension and knowledge outcomes was directly impacted. Knowledge assessments via recall surveys and quizzes regarding surgical approaches, risks and benefits, and outcomes were disparate and unstandardized. Despite this marked variability in outcome measures precluding further analysis, our review noted that most studies that reported knowledge outcomes often suggested improved patient comprehension and recall of PDA content.
Individuals with lower socioeconomic status may be less likely to engage in SDM, report lower satisfaction, and exhibit higher decisional regret (72). Few PDAs that met our inclusion criteria were explicitly designed for socially or educationally disadvantaged groups through accounting for literacy barriers and core social determinants of health (22). As new PDAs continue to emerge for the use in plastic and reconstructive procedures, we encourage future studies to reassess their impact upon patient-reported outcomes, review efforts to improve access to diverse patient populations.
Conclusions
In conclusion, PDAs can facilitate and elucidate value-based decision making in complex and high stakes procedures within PRS. With continued investment from surgical teams and institutions, PDAs have the potential to reduce decisional conflict and regret while enhancing shared decision making and patient satisfaction across PRS.
Acknowledgments
None.
Footnote
Reporting Checklist: The authors have completed the PRISMA reporting checklist. Available at https://abs.amegroups.com/article/view/10.21037/abs-2025-1-66/rc
Peer Review File: Available at https://abs.amegroups.com/article/view/10.21037/abs-2025-1-66/prf
Funding: None.
Conflicts of Interest: All authors have completed the ICMJE uniform disclosure form (available at https://abs.amegroups.com/article/view/10.21037/abs-2025-1-66/coif). C.K. serves as an unpaid editorial board member of Annals of Breast Surgery from December 2025 to November 2027. D.W.M reports consulting fees from MTF Biologics and TELA Bio. C.K. reports consulting fees from BD, Bimini Health Tech, and TELA Bio; and honoraria from BD and TELA Bio for lectures. The other authors have no conflicts of interest to declare.
Ethical Statement: The authors are accountable for all aspects of the work in ensuring that questions related to the accuracy or integrity of any part of the work are appropriately investigated and resolved.
Open Access Statement: This is an Open Access article distributed in accordance with the Creative Commons Attribution-NonCommercial-NoDerivs 4.0 International License (CC BY-NC-ND 4.0), which permits the non-commercial replication and distribution of the article with the strict proviso that no changes or edits are made and the original work is properly cited (including links to both the formal publication through the relevant DOI and the license). See: https://creativecommons.org/licenses/by-nc-nd/4.0/.
References
- American Society of Plastic Surgeons. 2024 Plastic Surgery Statistics Report. 2025.
- Berlin NL, Tandon VJ, Hawley ST, et al. Feasibility and Efficacy of Decision Aids to Improve Decision Making for Postmastectomy Breast Reconstruction: A Systematic Review and Meta-analysis. Med Decis Making 2019;39:5-20. [Crossref] [PubMed]
- Chen L, Lu J, Chen B, et al. Effect of shared decision-making in patients with breast cancer undergoing breast reconstruction surgery: A systematic review and meta-analysis. Asia Pac J Oncol Nurs 2024;11:100596. [Crossref] [PubMed]
- Graziano FD, White DR, Plotsker EL, et al. Enhancing Patient Decision-Making in Breast Reconstruction: A Systematic Review of Decision Aid Efficacy. J Surg Oncol 2025;131:1222-35. [Crossref] [PubMed]
- Yang S, Yu L, Zhang C, et al. Effects of decision aids on breast reconstruction: A systematic review and meta-analysis of randomised controlled trials. J Clin Nurs 2023;32:1025-44. [Crossref] [PubMed]
- Elwyn G, O'Connor A, Stacey D, et al. Developing a quality criteria framework for patient decision aids: online international Delphi consensus process. BMJ 2006;333:417. [Crossref] [PubMed]
- Stacey D, Légaré F, Lewis K, et al. Decision aids for people facing health treatment or screening decisions. Cochrane Database Syst Rev 2017;4:CD001431. [Crossref] [PubMed]
- O'Connor AM. Validation of a decisional conflict scale. Med Decis Making 1995;15:25-30. [Crossref] [PubMed]
- Brehaut JC, O'Connor AM, Wood TJ, et al. Validation of a decision regret scale. Med Decis Making 2003;23:281-92. [Crossref] [PubMed]
- Zigmond AS, Snaith RP. The hospital anxiety and depression scale. Acta Psychiatr Scand 1983;67:361-70. [Crossref] [PubMed]
- Sepucha KR, Belkora JK, Chang Y, et al. Measuring decision quality: psychometric evaluation of a new instrument for breast cancer surgery. BMC Med Inform Decis Mak 2012;12:51. [Crossref] [PubMed]
- Kaur MN, Morrison SD, Kennedy SL, et al. International study to develop a patient-reported outcome measure to evaluate outcomes of gender-affirming care - the GENDER-Q. J Patient Rep Outcomes 2024;8:134. [Crossref] [PubMed]
- Pusic AL, Klassen AF, Scott AM, et al. Development of a new patient-reported outcome measure for breast surgery: the BREAST-Q. Plast Reconstr Surg 2009;124:345-53. [Crossref] [PubMed]
- Knowles KA, Olatunji BO. Specificity of trait anxiety in anxiety and depression: Meta-analysis of the State-Trait Anxiety Inventory. Clin Psychol Rev 2020;82:101928. [Crossref] [PubMed]
- McGuinness LA, Higgins JPT. Risk-of-bias VISualization (robvis): An R package and Shiny web app for visualizing risk-of-bias assessments. Res Synth Methods 2021;12:55-61. [Crossref] [PubMed]
- Sterne JA, Hernán MA, Reeves BC, et al. ROBINS-I: a tool for assessing risk of bias in non-randomised studies of interventions. BMJ 2016;355:i4919. [Crossref] [PubMed]
- Sterne JAC, Savović J, Page MJ, et al. RoB 2: a revised tool for assessing risk of bias in randomised trials. BMJ 2019;366:l4898. [Crossref] [PubMed]
- Scalia P, Tighe KM, Elwyn G, et al. A systematic review of decision aids for gender affirming therapy. Transl Androl Urol 2021;10:2574-82. [Crossref] [PubMed]
- Su Y, Sun CY, Chiu WK, et al. Patient Decision Aids for Breast Cancer Reconstruction: A Systematic Review and Network Meta-Analysis of Randomized Controlled Trials. Plast Reconstr Surg 2024;154:929-40. [Crossref] [PubMed]
- Williams T, Fine K, Duckworth E, et al. Patient decision aids in breast surgery and breast reconstruction reduce decisional conflict: a systematic review and meta-analysis. Breast Cancer Res Treat 2025;213:1-14. [Crossref] [PubMed]
- Paraskeva N, Guest E, Lewis-Smith H, et al. Assessing the effectiveness of interventions to support patient decision making about breast reconstruction: A systematic review. Breast 2018;40:97-105. [Crossref] [PubMed]
- Yu L, Gong J, Sun X, et al. Assessing the Content and Effect of Web-Based Decision Aids for Postmastectomy Breast Reconstruction: Systematic Review and Meta-Analysis of Randomized Controlled Trials. J Med Internet Res 2024;26:e53872. [Crossref] [PubMed]
- Lambert A, Pratt A, Conard LAE, et al. Supporting Gender-Related Medical Decision Making for Transgender and Gender-Diverse Individuals: A Scoping Review. Transgend Health 2023;8:113-23. [Crossref] [PubMed]
- Zdenkowski Nicholas. A systematic review of decision aids for patients making a decision about treatment for early breast cancer. Breast 2016;26:31-45. [Crossref] [PubMed]
- Au AH, Lam WW, Chan MC, et al. Development and pilot-testing of a Decision Aid for use among Chinese women facing breast cancer surgery. Health Expect 2011;14:405-16. [Crossref] [PubMed]
- Belkora JK, Volz S, Teng AE, et al. Impact of decision aids in a sustained implementation at a breast care center. Patient Educ Couns 2012;86:195-204. [Crossref] [PubMed]
- Causarano N, Platt J, Baxter NN, et al. Pre-consultation educational group intervention to improve shared decision-making for postmastectomy breast reconstruction: a pilot randomized controlled trial. Support Care Cancer 2015;23:1365-75. [Crossref] [PubMed]
- Fang SY, Lin PJ, Kuo YL. Long-Term Effectiveness of a Decision Support App (Pink Journey) for Women Considering Breast Reconstruction Surgery: Pilot Randomized Controlled Trial. JMIR Mhealth Uhealth 2021;9:e31092. [Crossref] [PubMed]
- Hawley ST, Newman L, Griggs JJ, et al. Evaluating a Decision Aid for Improving Decision Making in Patients with Early-stage Breast Cancer. Patient 2016;9:161-9. [Crossref] [PubMed]
- Heller L, Parker PA, Youssef A, et al. Interactive digital education aid in breast reconstruction. Plast Reconstr Surg 2008;122:717-24. [Crossref] [PubMed]
- Hoffman AS, Cantor SB, Fingeret MC, et al. Considering Breast Reconstruction after Mastectomy: A Patient Decision Aid Video and Workbook. Plast Reconstr Surg Glob Open 2019;7:e2500. [Crossref] [PubMed]
- Klifto KM, Khan H, Manahan MA, et al. Decision aid for women with newly diagnosed breast cancer seeking breast reconstruction surgery: A prospective, randomized, controlled, single-blinded, pilot study. J Plast Reconstr Aesthet Surg 2021;74:2519-26. [Crossref] [PubMed]
- Kim S, Gong HS. The Effect of Providing Audiovisual Surgical Information on Decisional Conflict in Patients Undergoing Plate Fixation for Distal Radius Fractures. Clin Orthop Surg 2021;13:18-23. [Crossref] [PubMed]
- Lam WW, Chan M, Or A, et al. Reducing treatment decision conflict difficulties in breast cancer surgery: a randomized controlled trial. J Clin Oncol 2013;31:2879-85. [Crossref] [PubMed]
- Lee BT, Chen C, Yueh JH, et al. Computer-based learning module increases shared decision making in breast reconstruction. Ann Surg Oncol 2010;17:738-43. [Crossref] [PubMed]
- Lin PJ, Fang SY, Kuo YL. Development and Usability Testing of a Decision Support App for Women Considering Breast Reconstruction Surgery. J Cancer Educ 2021;36:160-7. [Crossref] [PubMed]
- Luan A, Hui KJ, Remington AC, et al. Effects of A Novel Decision Aid for Breast Reconstruction: A Randomized Prospective Trial. Ann Plast Surg 2016;76:S249-54. [Crossref] [PubMed]
- Manne SL, Topham N, D'Agostino TA, et al. Acceptability and pilot efficacy trial of a web-based breast reconstruction decision support aid for women considering mastectomy. Psychooncology 2016;25:1424-33. [Crossref] [PubMed]
- Mardinger C, Steve AK, Webb C, et al. Breast Reconstruction Decision Aids Decrease Decisional Conflict and Improve Decisional Satisfaction: A Randomized Controlled Trial. Plast Reconstr Surg 2023;151:278-88. [Crossref] [PubMed]
- Metcalfe K, Zhong T, O'Neill AC, et al. Development and testing of a decision aid for women considering delayed breast reconstruction. J Plast Reconstr Aesthet Surg 2018;71:318-26. [Crossref] [PubMed]
- Mokken SE, Özer M, van de Grift TC, et al. Evaluation of the Decision Aid for Genital Surgery in Transmen. J Sex Med 2020;17:2067-76. [Crossref] [PubMed]
- Paraskeva N, Tollow P, Clarke A, et al. A multi-centred sequential trial comparing PEGASUS, an intervention to promote shared decision making about breast reconstruction with usual care. J Plast Reconstr Aesthet Surg 2022;75:1342-51. [Crossref] [PubMed]
- Politi MC, Lee CN, Philpott-Streiff SE, et al. A Randomized Controlled Trial Evaluating the BREASTChoice Tool for Personalized Decision Support About Breast Reconstruction After Mastectomy. Ann Surg 2020;271:230-7. [Crossref] [PubMed]
- Politi MC, Myckatyn TM, Cooksey K, et al. A Randomized Controlled Trial of the Implementation of BREASTChoice, a Multilevel Breast Reconstruction Decision Support Tool With Personalized Risk Prediction. Ann Surg 2024; Epub ahead of print. [Crossref]
- Sherman KA, Kilby CJ, Shaw LK, et al. Facilitating decision-making in women undergoing genetic testing for hereditary breast cancer: BRECONDA randomized controlled trial results. Breast 2017;36:79-85. [Crossref] [PubMed]
- Sherman KA, Shaw LK, Jørgensen L, et al. Qualitatively understanding patients' and health professionals' experiences of the BRECONDA breast reconstruction decision aid. Psychooncology 2017;26:1618-24. [Crossref] [PubMed]
- Sherman KA, Shaw LE, Winch CJ, et al. Reducing Decisional Conflict and Enhancing Satisfaction with Information among Women Considering Breast Reconstruction following Mastectomy: Results from the BRECONDA Randomized Controlled Trial. Plast Reconstr Surg 2016;138:592e-602e. [Crossref] [PubMed]
- Sowa Y, Inafuku N, Tsuge I, et al. Development and implementation of a decision aid for post-mastectomy breast reconstruction for Japanese women with breast cancer: a field-testing study. Breast Cancer 2023;30:570-6. [Crossref] [PubMed]
- Stege JAT, Engelhardt EG, Woerdeman LAE, et al. Patients' and plastic surgeons' experiences with an online patient decision aid for breast reconstruction: considerations for nationwide implementation. BMC Med Inform Decis Mak 2025;25:62. [Crossref] [PubMed]
- Ter Stege JA, Woerdeman LAE, Kieffer JM, et al. Efficacy of a Decision Aid in Breast Cancer Patients Considering Immediate Reconstruction: Results of a Randomized Controlled Trial. Plast Reconstr Surg 2024;154:706-22. [Crossref] [PubMed]
- Ter Stege JA, Raphael DB, Oldenburg HSA, et al. Development of a patient decision aid for patients with breast cancer who consider immediate breast reconstruction after mastectomy. Health Expect 2022;25:232-44. [Crossref] [PubMed]
- Varelas L, Egro FM, Evankovich N, et al. A Randomized Controlled Trial to Assess the Use of a Virtual Decisional Aid to Improve Knowledge and Patient Satisfaction in Women Considering Breast Reconstruction Following Mastectomy. Cureus 2020;12:e12018. [Crossref] [PubMed]
- Wilkens SC, Ring D, Teunis T, et al. Decision Aid for Trapeziometacarpal Arthritis: A Randomized Controlled Trial. J Hand Surg Am 2019;44:247.e1-9. [Crossref] [PubMed]
- Wang Y, Zhang Q, Cheng C, et al. Effects of a web-based decision aid on breast cancer patients considering a breast reconstruction: a randomized controlled trial. BMC Womens Health 2025;25:217. [Crossref] [PubMed]
- Zhong T, Quong WL, Cheng T, et al. Preconsultation Educational Group Intervention Can Address the Knowledge Gap in Postmastectomy Breast Reconstruction. Ann Plast Surg 2021;86:695-700. [Crossref] [PubMed]
- Brandel MG, Reid CM, Parmeshwar N, et al. Efficacy of a Procedure-Specific Education Module on Informed Consent in Plastic Surgery. Ann Plast Surg 2017;78:S225-8. [Crossref] [PubMed]
- Paraskeva N, Clarke A, Grover R, et al. Facilitating shared decision-making with breast augmentation patients: Acceptability of the PEGASUS intervention. J Plast Reconstr Aesthet Surg 2017;70:203-8. [Crossref] [PubMed]
- Hagopian CO, Hagopian TM, Wolfswinkel EM, et al. An Expert Consensus Study for Informed Consent in Primary Breast Augmentation Surgery. Aesthet Surg J 2021;41:NP162-76. [Crossref] [PubMed]
- Ho ES, Parsons JA, Davidge K, et al. Developing a decision aid for youth with brachial plexus birth injuries facing treatment decisions for an elbow flexion contracture. PM R 2022;14:971-86. [Crossref] [PubMed]
- Özer M, Pigot GLS, Bouman MB, et al. Development of a Decision Aid for Genital Gender-Affirming Surgery in Transmen. J Sex Med 2018;15:1041-8. [Crossref] [PubMed]
- Graesser EA, Tian AC, Dardas AZ, Calfee RP, Wall LB. Development of a Patient Decision Aid for Distal Radius Fractures in Patients Aged ≥65 Years. J Hand Surg Am 2024;49:885-900. [Crossref] [PubMed]
- Makar KG, Tran KD, Brown W, et al. Cleft-Related Revision Procedures: Surgeon Perspectives on Shared Decision-Making and a Decision Aid Prototype. Cleft Palate Craniofac J 2026;63:938-44. [Crossref] [PubMed]
- Elwyn G, Frosch D, Thomson R, et al. Shared decision making: a model for clinical practice. J Gen Intern Med 2012;27:1361-7. [Crossref] [PubMed]
- Mulley AG, Trimble C, Elwyn G. Stop the silent misdiagnosis: patients' preferences matter. BMJ 2012;345:e6572. [Crossref] [PubMed]
- Brouwers M, Stacey D, O'Connor A. Knowledge creation: synthesis, tools and products. CMAJ 2010;182:E68-72. [Crossref] [PubMed]
- Whelan T, Levine M, Gafni A, et al. Mastectomy or lumpectomy? Helping women make informed choices. J Clin Oncol 1999;17:1727-35. [Crossref] [PubMed]
- Whelan T, Levine M, Willan A, et al. Effect of a decision aid on knowledge and treatment decision making for breast cancer surgery: a randomized trial. JAMA 2004;292:435-41. [Crossref] [PubMed]
- Elwyn G, Scholl I, Tietbohl C, et al. "Many miles to go …": a systematic review of the implementation of patient decision support interventions into routine clinical practice. BMC Med Inform Decis Mak 2013;13:S14. [Crossref] [PubMed]
- Lin GA, Halley M, Rendle KA, et al. An effort to spread decision aids in five California primary care practices yielded low distribution, highlighting hurdles. Health Aff (Millwood) 2013;32:311-20. [Crossref] [PubMed]
- Eid MA, Barry MJ, Tang GL, et al. Effect of a Decision Aid on Agreement Between Patient Preferences and Repair Type for Abdominal Aortic Aneurysm: A Randomized Clinical Trial. JAMA Surg 2022;157:e222935. [Crossref] [PubMed]
- Witteman HO, Maki KG, Vaisson G, et al. Systematic Development of Patient Decision Aids: An Update from the IPDAS Collaboration. Med Decis Making 2021;41:736-54. [Crossref] [PubMed]
- Hughes TM, Merath K, Chen Q, et al. Association of shared decision-making on patient-reported health outcomes and healthcare utilization. Am J Surg 2018;216:7-12. [Crossref] [PubMed]
Cite this article as: Le DM, Murphy T, Aryanpour Z, Mathes DW, Matlock DD, Tevis S, Kaoutzanis C, Egan KG. Improving shared-decision making in plastic surgery: a systematic review and meta-analysis of patient-facing decision aids. Ann Breast Surg 2026;10:3.

